Charttechnik
Charttechnik
Momentum-Indikatoren
Momentum
Rate of Change (ROC)
Umsatz-ROC
Oszillatoren
CCI
Chaikin Oscillator
OB/OS
RSL
Stochastik
Williams %R
Trend-Indikatoren
Gleitender Durchschnitt
Coppock
KST
MACD
MFI
RSI
TBI
TRIX
Umsatz-Indikatoren
Accumulat./Distribution
NVI
OBV
PVI
PVT
Umsatz
Sonstige Indikatoren
Bollinger-Bänder
Detrend
EMV
Williams A/D
Gleitender Durchschnitt (Moving Average)
Beschreibung
Gleitende Durchschnitte gehören zu den beliebtesten Indikatoren zur Erkennung von Trendwechseln.
Berechnung
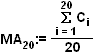
Die Berechnung erfolgt beispielhaft für den 20-Tage-GD nach folgender Formel:
C......Schlußkurse der letzten 20 Tage
Anwendung
Unter http://www.aktien-portal.at/showsignale finden sie Kauf- bzw. Verkaufsignale in Bezug auf verschiedene Gleitende Durchschnitte für diverse Aktien:
Gleitende Durchschnitte gehören zu den beliebtesten Indikatoren zur Erkennung von Trendwechseln.
Berechnung
Die Berechnung erfolgt beispielhaft für den 20-Tage-GD nach folgender Formel:
C......Schlußkurse der letzten 20 Tage
Anwendung
- Ein Verkaufssignal entsteht wenn der Kurs den Gleitenden Durchschnitt nach unten durchkreuzt.
- Ein Kaufsignal entsteht wenn der Kurs den Gleitenden Durchschnitt nach oben durchkreuzt.
Unter http://www.aktien-portal.at/showsignale finden sie Kauf- bzw. Verkaufsignale in Bezug auf verschiedene Gleitende Durchschnitte für diverse Aktien:
- Ein Kaufsignal wird angezeigt wenn der Kurs den Gleitenden Durchschnitt nach oben durchkreuzt.
- Ein Verkaufsignal wird angezeigt wenn der Kurs den Gleitenden Durchschnitt nach unten durchkreuzt.